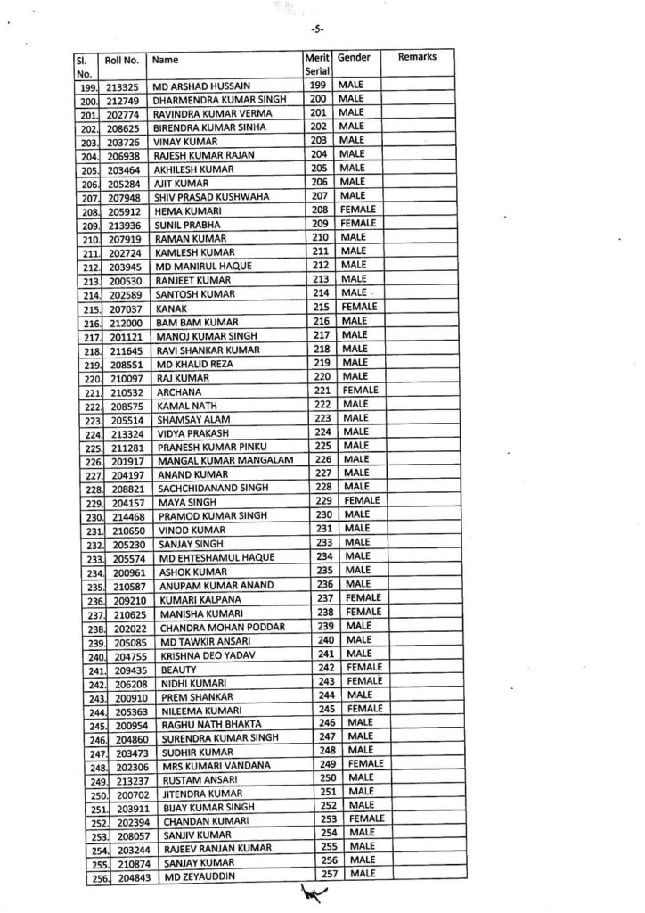
प्रधानाध्यापक लिखित परीक्षा का रिजल्ट जारी, 421 कैंडिडेट हुए सफल, यहां देखे पूरी लिस्ट

बिहार लोक सेवा आयोग (BPSC) ने प्रधानाध्यापक लिखित परीक्षा का रिजल्ट जारी कर दिया है। परीक्षा में कुल 421 अभ्यर्थी सफल हुए हैं। बता दें, कि यह वेकैंसी शिक्षा विभाग के अंतर्गत उच्च माध्यमिक विद्यालयों में प्रधानाध्यापक के रिक्त पदों के लिए निकाली गई है। BPSC के संयुक्त सचिव सह परीक्षा नियंत्रक अमरेंद्र कुमार ने बताया कि 6421 रिक्तियों के विरूद्ध मेरिट लिस्ट के आधार और आरक्षण कोटिवार सफल कुल 421 उम्मीदवार का परीक्षाफल जारी किया है।








बता दें कि BPSC ने बिहार के हाई स्कूलों में प्रधानाध्यापक नियुक्ति के लिए 31 मई, मंगलवार को परीक्षा ली थी। बिहार लोक सेवा आयोग ने इसके लिए सिर्फ पटना में परीक्षा केन्द्र बनाया था। आयोग ने पटना के 25 परीक्षा केंद्रों पर परीक्षा लेगा। इसमें 14885 अभ्यर्थियों ने आवेदन भरा था। परीक्षा में सामान्य ज्ञान विषय से 150 सवाल पूछे गए थे। सामान्य अध्ययन के 100 सवाल 100 अंकों थे। बीएड कोर्स से संबंधित 50 सवाल 50 अंकों थे। गलत उत्तर के लिए 0.25 अंक काटे गए।









